Original Research
This paper examines the relationship between the legal framework and regional development in Mexico, evaluating how laws and regulations affect corruption perception, citizen participation, and state economic growth. Significant interactions between these variables were identified through advanced statistical methods, such as Granger causality analysis, VAR and Gradient Boosting models. The findings indicated that a solid legal framework reduces corruption perception and fosters citizen participation. However, its direct influence on economic growth was mediated by structural factors and observed over the long term. Moreover, economic growth appears to have a two-way effect, facilitating the improvement of the legal framework. It is concluded that a robust legal framework is essential for effective governance and sustainable regional development, highlighting the importance of public policies aimed at institutional strengthening and social cohesion.
Relationship between the Legal Framework and Regional Development in Mexico
Ma. Benilde Rincón García* , Edgar Pérez González
Faculty of Accounting and Management, Autonomous University of Queretaro, Mexico
Faculty of Law, Autonomous University of Querétaro, Mexico
Abstract:
This paper examines the relationship between the legal framework and regional development in Mexico, evaluating how laws and regulations affect corruption perception, citizen participation, and state economic growth. Significant interactions between these variables were identified through advanced statistical methods, such as Granger causality analysis, VAR and Gradient Boosting models. The findings indicated that a solid legal framework reduces corruption perception and fosters citizen participation. However, its direct influence on economic growth was mediated by structural factors and observed over the long term. Moreover, economic growth appears to have a two-way effect, facilitating the improvement of the legal framework. It is concluded that a robust legal framework is essential for effective governance and sustainable regional development, highlighting the importance of public policies aimed at institutional strengthening and social cohesion
Keywords: Legal Framework, Regional Development, Corruption Perception, Governance, Economic Growth
The legal system is an inseparable component of economic development in the modern world. It is directly linked to the effectiveness of government and plays a central role in establishing either a favorable or adverse environment within a jurisdiction. Moreover, the legal framework defines the capacity of regional governments to formulate economic and social development policies. Recent research indicates that a solid legal framework is a prerequisite for attracting investment and fostering innovation. This aspect is particularly crucial in developing countries, where legal systems are still in the process of being established, and institutional stability remains an ongoing challenge.
At least part of the puzzle in explaining the varied economic development among regions in Mexico can be attributed to differences in the extent to which laws are adopted and enforced. As a result, the region's competitiveness is hindered by excessive regulatory proliferation, which stifles economic growth (Valenzuela, 2021). This underscores the importance of a legal framework for economic progress. Nonetheless, the existing literature fails to provide a granular view of how laws and regulations, along with the configurations in which they exist, influence regional governance and overall economic development. Furthermore, the lack of coordination in the application and enforcement of these laws has exacerbated regional asymmetries and inequalities in governance and economic development in Mexico.
The primary objective of this research is to assess the impact of the legal framework on governance and regional growth in Mexico. Based on statistical data from the State Competitiveness Index, developed by the Mexican Institute for Competitiveness (IMCO), it can be concluded that there are several specific areas in which legal regulation significantly influences economic development.
This research is grounded in the premise that the functionality of legal institutions significantly influences regional economic growth (Cristina et al., 2021; Irtyshcheva et al., 2020; Mendoza Reyna et al., 2024). An expanded and enriched section that delves into the connection between the legal framework and economic growth is particularly relevant in developing countries, where legal systems are still in the process of consolidation and establishing a stable and predictable business environment faces significant challenges.
Various studies show that a strong and well-articulated rule of law serves as a pillar for economic activity and promotes growth. Clear laws with stable and uniform enforcement allow companies to implement long-term strategies and focus on sustainable growth. Consequently, significant economic progress occurs from the local to the national level. As a result, the link contributes to the concept that a stable legal framework is a tool for regional economic development and competitiveness.
The stability of legal norms in key sectors for regional growth, such as infrastructure and energy, is essential to attract foreign direct investment. Current studies conducted in Mexico show that fragmented and inconsistent legal systems can be serious obstacles to development (Aguilar et al., 2022; Caria, 2022; Solorio, 2021). Although this challenge has already been identified and analyzed, a readjustment in institutional structures is needed. On the other hand, the study of industrial behaviors before and after the implementation of reform policies shows positive results (Alarcón, 2023). Jeong (2023) and Syah (2023) concluded that if reforms are carried out properly, the benefits obtained should exceed expectations, leading to economic growth in the region.
According to Erkkilä (2020), elements such as effective public communication, the implementation of flexible fiscal policies, and joint statements from the three branches of government designed to build trust in the citizenry during critical periods are not only relevant but also essential factors in promoting economic growth.
This article focuses on a gap identified in current literature: the impact of the legal framework on regional growth in Mexico. Through analyzing the relationship between legal structures and regional development, this research aims to provide a robust set of data that can serve as a foundation for decision-makers to design more effective strategies aimed at sustainable economic growth in various regions of the country. Building on the theoretical framework discussed earlier, the following section presents the methodological approach adopted in this study.
For this study, a quantitative, descriptive, and correlational methodology is applied to analyze the relationships between legal institutions on the one hand and the growth of the regional economy in Mexico on the other. In terms of public governance and regional development in Latin America, it has been effective. To monitor the Mexican states, the Mexican Institute for Competitiveness compiles the indices. Additionally, it assesses its contribution to investment decision-making, governance, and tax management with respect to the states.
The data were obtained from secondary sources of public access, mainly IMCO (2024) and other national databases such as INEGI (2024), following the methodologies used in recent literature on regional competitiveness in Mexico. The data on the State Competitiveness Index (ICE) refer to the period 2015-2023, covering the states of Mexico and the variables mentioned for each one, including the legal framework of legislation, perception of state corruption, trends in state GDP growth, and citizen participation. Overall, working through a database for the 32 states of Mexico provides a comprehensive overview of the integration of quality and effectiveness of a legal system.
The study is designed as non-experimental, cross-sectional, and with an explanatory correlational design. Some successful research in the study of governance and economic growth in developing regions has employed this approach. Additionally, through statistical analysis, researchers are able to establish how indicators of regional performance, including legal and regulatory constraints for female entrepreneurs, correlate with each other. Therefore, this study focuses on explaining why regional development often differs substantially.
The indicators selected to evaluate the effectiveness of the legal framework and its effect on economic development are as follows:
The IMCO's rule of law sub-index calculates various parameters to evaluate the correlation between legislation (or the absence of it) and its impact on the efficiency of the judicial system, the level of public security, and the general perception of corruption in the federal entity.
State corruption perception: the perception of corruption by the general population.
State GDP growth rate: the real growth rate of the economy of any state is an indicator of its success or failure within the Federation framework.
Citizen participation: the number of cases in which citizens demonstrate active participation in democratic procedures.
The data analysis was divided into several steps. First, a descriptive analysis was conducted, which involved discovering trends and monitoring normality. It included the following statistical techniques to test the relationship between the selected variables:
(i) Granger Causality: For this analysis, the study analyzed the Granger causation that may exist among the perception of state corruption, the state GDP growth rate, and citizen participation. Different lags were generated using the Akaike Information Criterion to ensure adequate temporal dynamics in the model and to mitigate the risk of overfitting. Indeed, this method provided a way to test the causal impact of the law on a variety of economic growth and governance variables in conjunction with other research.
(ii) Vector Autoregressive (VAR): This model was applied to examine the feedback between the Rule of Law Subindex, perception of state corruption, and state GDP growth rate. Broadly, VAR explores the contemporary and lagged interdependencies among various economic indicators, transient interrelationships among contemporary variables, and the time series data analysis architecture.
(iii) Incremental Gradient Regressor: This model predicted regional economic growth rates, with residual errors adjusted to minimize errors while obtaining forecasts. This approach was used to evaluate whether legislative influence directly impacted economic data, based on insights from other countries, whilst also assessing the influence through potential legalistic institutions (Liu et al., 2023).
The VAR model was selected for its ability to capture dynamic interactions over time, while Gradient Boosting was employed to enhance predictive accuracy by addressing potential nonlinear relationships between variables. These methods were chosen to provide a comprehensive analysis of the relationship between the legal framework and economic growth, considering both linear and complex interactions.
This study provides a strong empirical and systematic approach that complies with methodological standards for legal systems related to economic growth rates and regional development within Mexico.
The results of the study indicated the existence of a correlation between the legal framework and the perception of corruption and regional economic development in Mexico. A thorough statistical examination revealed several crucial factors affecting economic growth and governance as a whole. In addition to the detailed examination of these relationships, the authors also employed Granger causality, a vector autoregressive model, and a Gradient Boosting model.
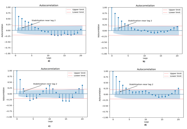
Before considering the possible existence of causal relationships, we need to evaluate how many lag periods should be in the time series analysis. As presented in Figure 1, our autocorrelation analysis results suggest that two periods is the maximum time to capture the interactions between the selected variables. For example, in the case of the Rule of Law Subindex, there was a significant decrease in correlation after the second lag period, and the values drained around zero, indicating stability. A similar pattern is evident for state corruption perception and citizen participation. The GDP growth time series, as mentioned earlier, showed a cyclical pattern in the early lags before stabilizing. These results support the methodological choice.
Autocorrelation of the Selected Indicators: (a) Subindex of Law, (b) Perception of State Corruption, (c) State GDP Note. Growth Rate, (d) Citizen Participation.

The red dashed lines represent the confidence intervals, indicating statistical significance. Values inside the shaded area reflect random variations, while those outside suggest significant autocorrelation. The observed patterns support the decision to limit the analysis to two lags.
The results indicate that time series stabilization occurs around the second lag. In the cases of the Rule of Law, Perception of Corruption, and Citizen Participation sub-indices, a significant decrease in correlation is evident after the second lag, with values approaching zero, indicating the presence of stability in the series. On the other hand, the series of State GDP Growth Rate exhibits a cyclical pattern in the initial lags before stabilizing.
The causality analysis highlighted significant simultaneous relationships occurring between the variables. Negative perception decreases in entities where the Law Subindex increases in simulations without causal models in other directions; therefore, the Law Subindex has a negative impact on corruption perception by reducing that element with a higher score: F = 6.77, p = .001. Similarly, economic growth promotes democracy in those simulations without any effect in the opposite direction: F = 3.04, p = .049. However, no significant relationship was found between the Law Subindex and the State GDP Growth Rate: F = 1.72, p = .180; in these ways, the quality of the legal framework has a proven impact on the economy, but it is not clear how this relationship operates if other effects are nullified. Growth has a negative impact on the variable when a simultaneous effect is removed.
Furthermore, the analysis revealed that the economic growth variable also has an impact on the legal framework. Specifically, the value for this variable is F = 5.56, p = .004. This would mean that regions with higher economic growth are more likely to improve the state of their legal institutions. This latter seems to have an inverse-dependent relationship (see Table 1).
Results of the Granger Causality Test
|
Causal Relationship |
F |
p |
Significance |
|
Subindex of Law → Perception of State Corruption (%) |
6.77 |
.001 |
Significant |
|
Subindex of Law → State GDP Growth Rate (%) |
1.72 |
.180 |
Not Significant |
|
Subindex of Law → Citizen Participation (%) |
3.03 |
.049 |
Significant |
|
Perception of State Corruption (%) → Subindex of Law |
4.50 |
.011 |
Significant |
|
Perception of State Corruption (%) → State GDP Growth Rate (%) |
5.09 |
.006 |
Significant |
|
Perception of State Corruption (%) → Citizen Participation (%) |
3.94 |
.020 |
Significant |
|
State GDP Growth Rate (%) → Subindex of Law |
5.56 |
.004 |
Significant |
|
State GDP Growth Rate (%) → Perception of State Corruption (%) |
10.13 |
.000 |
Significant |
|
State GDP Growth Rate (%) → Citizen Participation (%) |
4.24 |
.015 |
Significant |
|
Citizen Participation (%) → Subindex of Law |
0.93 |
.395 |
Not Significant |
|
Citizen Participation (%) → Perception of State Corruption (%) |
3.20 |
.041 |
Significant |
|
Citizen Participation (%) → State GDP Growth Rate (%) |
9.26 |
.000 |
Significant |
Overall, the VAR model confirmed the interactions identified previously through Granger analysis and made it possible to examine the dynamic responses to exogenous shocks. A positive shock to the Law Subindex results in a decrease in the perception of state corruption in both the short and medium term. These responses confirm the idea that legal reforms can affect public perception of governance in the short term. However, the impact on growth showed a much longer lag, implying that legal reforms take time to see real economic benefits (See Figure 2).
These findings align with prior research indicating that improvements in governance can significantly reduce corruption perception (Aguilar et al., 2022). However, unlike previous studies that found an immediate economic impact, this study suggests a more gradual influence, highlighting the need for sustained institutional reforms.
Responses to Orthogonalized Impulse Shocks

Note. Impulse response functions illustrate the effect of shocks on the law subindex on the perception of state corruption and the state GDP growth rate over time. A positive shock to the Law Subindex results in a decline in corruption perception in the short and medium term, whereas its effect on economic growth exhibits a longer adjustment period.
In this sense, the analysis also identified significant inertia in the variables, especially the growth of the state GDP, which exhibited persistence in its short-term fluctuations. Table 2 presents the estimated coefficients of the VAR model, highlighting that the state GDP growth rate shows a strong autoregressive component at lag 1 (coefficient = .76; p < .01), and significant effects at lags 2 and 3, confirming the presence of temporal persistence. This finding supports the idea that economic performance tends to follow momentum in the short term. Of course, states with dynamics of sustained growth are more prepared for the implementation of changes in the legal framework.
Summary of Estimated Coefficients for the VAR Model
|
Variable |
Coef. L1 |
p-value L1 |
Coef. L2 |
p-value L2 |
Coef. L3 |
p-value L3 |
|
Subindex of Law |
||||||
|
Subindex of Law (L1) |
.43 |
.000 |
.21 |
.001 |
.01 |
.830 |
|
Perception of State Corruption (L1) |
-.19 |
.216 |
-.39 |
.054 |
.21 |
.181 |
|
State GDP Growth Rate (L1) |
.41 |
.077 |
-.01 |
.952 |
-.15 |
.515 |
|
Perception of State Corruption (%) |
||||||
|
Subindex of Law (L1) |
-.03 |
.145 |
-.03 |
.115 |
.00 |
.736 |
|
Perception of State Corruption (L1) |
.71 |
.000 |
-.00 |
.920 |
-.02 |
.655 |
|
State GDP Growth Rate (L1) |
.26 |
.002 |
-.17 |
.102 |
.07 |
.375 |
|
State GDP Growth Rate (%) |
||||||
|
Subindex of Law (L1) |
.02 |
.059 |
-.03 |
.027 |
-.00 |
.937 |
|
Perception of State Corruption (L1) |
.13 |
.001 |
-.10 |
.026 |
-.02 |
.548 |
|
State GDP Growth Rate (L1) |
.76 |
.000 |
-.18 |
.010 |
-.15 |
.006 |
The Ljung-Box test was performed on the residuals of the model, confirming that no significant autocorrelation was present in the residuals for the Law Subindex and Perception of State Corruption (%), as all p-values were greater than .05. This suggests that the relationships between variables in the model are adequately captured and explained (see Table 3).
Ljung-Box Test Results for Residuals
|
Variable |
Ljung-Box Statistic (lb_stat) |
p |
|
Subindex of Law |
0.17 |
0.982 |
|
Perception of State Corruption (%) |
0.20 |
0.977 |
|
State GDP Growth Rate (%) |
3.46 |
0.325 |
In addition, the optimal lag order of the model was determined using the Akaike Information Criterion (AIC) and the Bayesian Information Criterion (BIC), both of which indicated that the best fit was achieved with two periods (refer to Table 4).
VAR Order Selection
|
Lag |
AIC |
BIC |
FPE |
HQIC |
|
0 |
11.05 |
11.09 |
6.32 |
11.07 |
|
1 |
9.33 |
9.47 |
1.13 |
9.39 |
|
2 |
9.15* |
9.39* |
9.41* |
9.24* |
|
3 |
9.16 |
9.52 |
9.60 |
9.31 |
Note. * highlights the minimum values.
The results of the VAR model suggest that both the State GDP Growth Rate (%) and the Perception of State Corruption (%) are significantly influenced by the Law Subindex, highlighting the crucial role of the legal framework in shaping governance and fostering economic development at the regional level.
Furthermore, the findings indicate that improvements in the legal system in response to external shocks can lead to positive outcomes, such as a reduction in corruption perception and an increase in economic growth at the state level. However, these effects tend to be transitory, with their influence diminishing within a period of two to three years. These results align with the conclusions drawn from the Granger causality tests, providing a robust empirical foundation for further exploration.
In this sense, the analysis also identified significant inertia in the variables, particularly in state GDP growth, which exhibited persistence in short-term fluctuations. Notably, states with sustained growth dynamics appear better positioned to implement changes within the legal framework.
In summary, the Gradient Boosting model allowed for a precise evaluation of the relative influence of variables in predicting economic growth. With a mean squared error of 2257.77 and a coefficient of determination of .88, the model has proven to be highly predictive. The perception of state corruption and the one-dimensional of Law Subindex stand out as the main determinants, collectively explaining over 60% of the variance in economic growth rates.
Furthermore, the ROC curve indicated an AUC of .93, supporting the model's ability to classify regions with poor and good economic performance (See Figure 3). Overall, the established trends are confirmed in this analysis, and the results of the VAR and Granger analysis confirm the hypothesis that a legal framework and a positive public perception are necessary for regional growth.
ROC Curve for Gradient Boosting (Adapted Classification) 
The results highlight the importance of a legal framework for reducing corruption perception and improving civilian participation. Although its direct impact on economic growth is less immediate, legal system reforms seem to generate a virtuous circle that, in the long term, contributes to sustainable regional development. This reinforces the relevance of public policies to promote the strengthening of legal institutions and the reduction of legal fragmentation, particularly in situations where the economy and governance are deeply intertwined.
The results of the research show that a strong legal system significantly reduces the perception of corruption and strengthens citizen participation, highlighting the importance of implementing legal reforms that generate public trust and improve governance. Although a direct relationship between the legal framework and short-term economic growth was not found, the positive effects of institutional strengthening, particularly in the perception of corruption and social cohesion, create a favorable environment for long-term sustainable development. Additionally, a bidirectional relationship was identified between regional economic growth and improvement in the legal framework, emphasizing the need for comprehensive policies that combine legal reforms and economic development strategies. Finally, legal reforms require time to translate into significant economic benefits, but their gradual impact can contribute to sustainable and equitable regional development, creating a virtuous circle between governance, legality, and growth.
The findings of this study provide valuable insights for policymakers, suggesting that strengthening the legal framework can contribute to reducing corruption perception and fostering citizen participation. Public institutions should prioritize the consistent enforcement of laws and the reduction of regulatory fragmentation to improve governance efficiency. Additionally, targeted policies focusing on transparency and legal certainty could attract foreign investment and promote sustainable regional development.
Future research could explore the impact of specific legal reforms on economic growth by conducting case studies at the municipal level. Additionally, incorporating qualitative methods, such as expert interviews and policy analysis, could provide deeper insights into the challenges and opportunities associated with the implementation of legal frameworks. Finally, extending the analysis to compare Mexico's legal and economic landscape with other developing economies could offer valuable policy lessons.
References
Aguilar, A. G., Flores, M. A., & Lara, L. F. (2022). Peri-urbanization and land use fragmentation in Mexico City. Informality, environmental deterioration, and ineffective urban policy. Frontiers in Sustainable Cities, 4. https://doi.org/10.3389/frsc.2022.790474
Alarcón, M. A. (2023). Los efectos de la corrupción sobre la innovación y el crecimiento económico en México [The effects of corruption on innovation and economic growth in Mexico]. Problemas Del Desarrollo. Revista Latinoamericana de Economía, 55(216), 35–66. https://doi.org/10.22201/iiec.20078951e.2024.216.70068
Caria, S. (2022). Cooperation regimes and hegemonic struggle: Opportunities and challenges for developing countries. Politics and Governance, 10(2). https://doi.org/10.17645/pag.v10i2.4919
Cristina, I. O. M., Nicoleta, C., Cătălin, D. R., & Margareta, F. (2021). Regional development in Romania: Empirical evidence regarding the factors for measuring a prosperous and sustainable economy. Sustainability, 13(7), 3942. https://doi.org/10.3390/su13073942
Erkkilä, T. (2020). Transparency in public administration. In Oxford Research Encyclopedia of Politics. Oxford University Press. https://doi.org/10.1093/acrefore/9780190228637.013.1404
IMCO. (2024). ÍNDICES DEL IMCO. Índice de Competitividad Estatal. https://imco.org.mx/indices/
INEGI. (2024). Ediciones de la economía informal trimestral por entidad federativa (MEITEF) [Quarterly editions of the informal economy by federal entity]. https://www.inegi.org.mx/contenidos/saladeprensa/boletines/2024/MEITEF/MEITEF2024_09.pdf
Irtyshcheva, I., Kramarenko, I., Shults, S., Boiko, Y., Blishchuk, K., Hryshyna, N., Popadynets, N., Dubynska, І., Ishchenko, O., & Krapyvina, D. (2020). Building favorable investment climate for economic development. Accounting, 773–780. https://doi.org/10.5267/j.ac.2020.6.006
Jeong, J. (2023). The effects of quality of bureaucrats, regulations, and e-government on the efficiency of economic regulatory policy: focusing on the effect on time. Journal of Asian Public Policy, 1–33. https://doi.org/10.1080/17516234.2023.2248643
Liu, J., Li, C., Ouyang, P., Liu, J., & Wu, C. (2023). Interpreting the prediction results of the tree‐based gradient boosting models for financial distress prediction with an explainable machine learning approach. Journal of Forecasting, 42(5), 1112–1137. https://doi.org/10.1002/for.2931
Mendoza Reyna, R. P., Vela Meléndez, L., & Dávila Cisneros, J. D. (2024). La gobernanza y la optimización del gasto público. Una revisión de literatura [Governance and public spending optimization: A literature review]. Suma de Negocios, 15(32), 59–69. https://doi.org/10.14349/sumneg/2024.V15.N32.A7
Solorio, I. (2021). Leader on paper, laggard in practice: policy fragmentation and the multi-level paralysis in implementation of the Mexican Climate Act. Climate Policy, 21(9), 1175–1189. https://doi.org/10.1080/14693062.2021.1894084
Syah, A. (2023). Implementation of new public management in improving bureaucracy reform in the public services sector in government agencies. The Sunan Ampel Review of Political and Social Sciences, 2(2), 129–141. https://doi.org/10.15642/sarpass.2023.2.2.129-141
Valenzuela, L. M. (2021). Planificación Regional y Ordenación Territorial [Regional Planning and Land Use Regulation]. Economía Sociedad y Territorio, 22(68), 303–307. https://doi.org/10.22136/est20221962
Download Count : 48
Visit Count : 178
Regional Development; Legal Framework; Corruption Perception; Governance; Economic Growth
How to cite this article
García, M. B. R., & González, E. P. (2025). Relationship between the legal framework and regional development in Mexico. European Journal of Studies in Management and Business, 33, 43-53. https://doi.org/10.32038/mbrq.2025.33.04
Acknowledgments
Not applicable.
Funding
Not applicable.
Conflict of Interests
No, there are no conflicting interests.
Open Access
This article is licensed under a Creative Commons Attribution 4.0 International License, which permits use, sharing, adaptation, distribution and reproduction in any medium or format, as long as you give appropriate credit to the original author(s) and the source, provide a link to the Creative Commons license, and indicate if changes were made. You may view a copy of Creative Commons Attribution 4.0 International License here: http://creativecommons.org/licenses/by/4.0/